- 联系:梁艳振
- 手机:18613741319
- 电话:0373-7595028
- 网址:http://nanyang.hnzxft.com/
- 地址:新乡市平原新区马井开发区

南阳河南封头
南阳河南封头是锅炉等压力容器的一个部件,也应用在管道封堵方面,新乡市中鑫南阳封头生产的封头有不锈钢、碳钢、钛、铝材质等多种材质的南阳椭圆封头、南阳锥形封头、南阳球形封头、南阳半球型封头等等。
河南封头标准——压力容器封头:
GB/T25198-2010 GB/T12459-2005 GB/T13401-2005 SH3408-1996 SH3409-1996 D-GD87-0607 DL/T695-1999
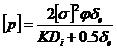
河南封头之南阳椭圆封头:组成部分:半椭球和高度为H的短圆筒,大工作压力计算方法如下:
椭圆封头应用:1.作为管道末端封口使用;2.作为压力容器罐子用。
河南封头之南阳半球形封头——组成部分:半个球壳,应用介质:液体、气体以及气液混合蒸汽等。
河南封头之南阳锥形封头——分为无折边和折边两种,应用:在航空航天以及医药化工、钢铁锅炉容器等行业都有应用。
河南南阳封头厂家——新乡市中鑫封头制造有限公司常年生产制造多种规格型号的封头,欢迎广大新老客户前来洽谈合作!
- 南阳不锈钢封头的多元分类与功能适配2025-07-25
- 南阳不锈钢封头安装核心原则解析2025-05-23
- 南阳球形封头的冷旋压成型技术详解 2025-03-26
- 南阳不锈钢封头:工业容器的守护者2025-03-13






